Skip to main content

Παχυσαρκία & διαβήτης τύπου 2: τι συμβαίνει πραγματικά στο σώμα

11 Μαρτίου 2026
Παχυσαρκία & διαβήτης τύπου 2: τι συμβαίνει πραγματικά στο σώμα

Η παχυσαρκία δεν είναι απλώς αυξημένο σωματικό βάρος. Πρόκειται για μια χρόνια μεταβολική κατάσταση που επηρεάζει τον τρόπο με τον οποίο το σώμα ρυθμίζει την ενέργεια, τις ορμόνες και τη γλυκόζη. Σύμφωνα με την Κοινωνία της Παχυσαρκίας (The Obesity Society, TOS), η παχυσαρκία είναι πολυπαραγοντική χρόνια νόσος που σχετίζεται με αυξημένο κίνδυνο ανάπτυξης συνοδών παθήσεων (Εικόνα 1), μεταξύ των οποίων ο σακχαρώδης διαβήτης τύπου 2.

balantia articles paxysarkia diabhths typou 2 ti symbainei pragmatika sto swma 01

Εικόνα 1. Συνοδά νοσήματα παχυσαρκίας

Σε αυτό το άρθρο εξετάζουμε:

  • πώς το αυξημένο σωματικό λίπος οδηγεί σε ινσουλινοαντίσταση
  • γιατί το κοιλιακό/σπλαχνικό λίπος έχει ιδιαίτερη σημασία
  • ποιο ρόλο παίζουν τα ελεύθερα λιπαρά οξέα και οι αδιποκίνες
  • γιατί η απώλεια βάρους επηρεάζει άμεσα τον μεταβολισμό

Τι συνδέει την παχυσαρκία με τον διαβήτη

Η σχέση μεταξύ παχυσαρκίας και διαβήτη δεν είναι απλή. Ο σακχαρώδης διαβήτης είναι μια χρόνια μεταβολική διαταραχή που χαρακτηρίζεται από αυξημένα επίπεδα γλυκόζης στο αίμα και αλλαγές στον ενεργειακό μεταβολισμό. Οι αλλαγές αυτές μπορεί να οφείλονται είτε σε μειωμένη παραγωγή ινσουλίνης είτε σε μειωμένη ανταπόκριση των κυττάρων στη διαθέσιμη ινσουλίνη.
Η παχυσαρκία αποτελεί έναν από τους σημαντικότερους παράγοντες που συμβάλλουν σε αυτή τη μεταβολική δυσλειτουργία, καθώς επηρεάζει τον τρόπο με τον οποίο το σώμα ρυθμίζει τη δράση της ινσουλίνης.

Σακχαρώδης διαβητης & σωματικό βάρος

Ο Παγκόσμιος Οργανισμός Υγείας (World Health Organization, WHO) αναγνωρίζει το αυξημένο σωματικό βάρος ως έναν από τους βασικούς παράγοντες κινδύνου για την εμφάνιση σακχαρώδη διαβήτη τύπου 2. Σε επίπεδο πρόληψης, δίνεται ιδιαίτερη έμφαση στην αποφυγή περαιτέρω αύξησης του πλεονάζοντος βάρους και στη διατήρηση ενός υγιούς σωματικού βάρους. Στην εικόνα 2 συνοψίζονται οι κύριοι παράγοντες κινδύνου και οι βασικές δράσεις που συμβάλλουν στην πρόληψη του σακχαρώδη διαβήτη τύπου 2.

balantia articles paxysarkia diabhths typou 2 ti symbainei pragmatika sto swma 02

Εικόνα 2. Παράγοντες κινδύνου και πρόληψη του διαβήτη.

Η παχυσαρκία και η ινσουλινοαντίσταση

Στην παχυσαρκία, τα κύτταρα — κυρίως των μυών και του ήπατος — ανταποκρίνονται λιγότερο αποτελεσματικά στην ινσουλίνη. Η κατάσταση αυτή ονομάζεται ινσουλινοαντίσταση (Εικόνα 3) και αποτελεί βασικό μηχανισμό που συνδέει το αυξημένο σωματικό λίπος με τη διαταραχή της ρύθμισης της γλυκόζης.
Πλήθος μελετών δείχνει ότι σε παχύσαρκους ασθενείς παρατηρείται αυξημένη διαθεσιμότητα λιπαρών οξέων προς τον σκελετικό μυ. Τα μυϊκά κύτταρα εμφανίζουν μειωμένη ικανότητα οξείδωσης αυτών των λιπαρών οξέων και αυξημένη τάση αποθήκευσης, γεγονός που ενισχύει περαιτέρω την ινσουλινοαντίσταση. Με αυτόν τον τρόπο, τα ελεύθερα λιπαρά οξέα λειτουργούν ως σημαντικός συνδετικός κρίκος μεταξύ παχυσαρκίας, ινσουλινοαντίστασης και σακχαρώδη διαβήτη.
Παράλληλα, η ορμονική δραστηριότητα του λιπώδους ιστού μεταβάλλει την ισορροπία σημάτων που ρυθμίζουν την όρεξη, τη φλεγμονή και τον μεταβολισμό, επιτείνοντας τη δυσλειτουργία. Έτσι, το αυξημένο σωματικό λίπος δεν είναι απλώς ενεργειακή αποθήκη αλλά αποτελεί ενεργό παράγοντα μεταβολικής διαταραχής.

balantia articles paxysarkia diabhths typou 2 ti symbainei pragmatika sto swma 03

Εικόνα 3. Εμφάνιση σακχαρώδη διαβήτη τύπου 2 λόγω ινσουλινοαντίστασης ή μειωμένης λειτουργίας β-κυττάρων παγκρέατος.

Γιατί το κοιλιακό λίπος έχει μεγαλύτερη σημασία

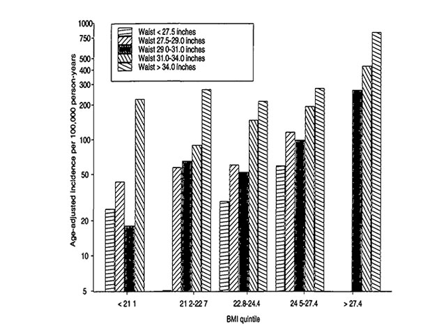
Δεν κατανέμεται όλο το σωματικό λίπος με τον ίδιο τρόπο. Το σπλαχνικό λίπος — δηλαδή το λίπος που συσσωρεύεται γύρω από τα εσωτερικά όργανα — παρουσιάζει ισχυρότερη μεταβολική δραστηριότητα σε σχέση με το υποδόριο λίπος, που βρίσκεται κάτω από το δέρμα. Έρευνες δείχνουν ότι η περίμετρος μέσης αποτελεί συχνά ισχυρότερο προγνωστικό δείκτη για την εμφάνιση σακχαρώδη διαβήτη τύπου 2 σε σύγκριση με τον δείκτη μάζας σώματος (Body Mass Index, BMI) (Εικόνα 4). Με άλλα λόγια, η κατανομή του λίπους έχει εξίσου — αν όχι μεγαλύτερη — σημασία από το συνολικό βάρος.

balantia articles paxysarkia diabhths typou 2 ti symbainei pragmatika sto swma 04

Εικόνα 4. Προσαρμοσμένη για την ηλικία συχνότητα εμφάνισης διαβήτη ανά βαθμίδα BMI και περίμετρο μέσης.

Μάλιστα, το αυξημένο κοιλιακό λίπος σχετίζεται με την εμφάνιση ινσουλινοαντίστασης ανεξάρτητα από άλλους παράγοντες, όπως τα επίπεδα ινσουλίνης νηστείας ή το οικογενειακό ιστορικό. Με απλά λόγια: δεν είναι μόνο πόσο βάρος υπάρχει — αλλά πού βρίσκεται.

Μπορεί η απώλεια βάρους να αλλάξει την εικόνα;

Η απώλεια βάρους αποτελεί βασική σύσταση για άτομα με σακχαρώδη διαβήτη και όχι τυχαία. Ακόμη και μια μέτρια μείωση του σωματικού βάρους, της τάξεως των 5–10 κιλών, μπορεί να βελτιώσει σημαντικά την ευαισθησία των κυττάρων στην ινσουλίνη και, κατ’ επέκταση, να συμβάλει στη μείωση των επιπέδων γλυκόζης στο αίμα.
Το σημαντικό είναι ότι δεν απαιτούνται ακραίες παρεμβάσεις. Σταδιακή, ρεαλιστική απώλεια βάρους συνδέεται με ουσιαστική μεταβολική βελτίωση και μειωμένο κίνδυνο εξέλιξης προς διαβήτη. Η πρόληψη, επομένως, δεν αφορά μόνο τον αριθμό στη ζυγαριά, αλλά την αποκατάσταση της μεταβολικής ισορροπίας.

Τι σημαίνει αυτό στην πράξη

Η παχυσαρκία και ο σακχαρώδης διαβήτης συνδέονται μέσω ενός σύνθετου πλέγματος μεταβολικών μηχανισμών, όπως η ινσουλινοαντίσταση, το σπλαχνικό λίπος, τα ελεύθερα λιπαρά οξέα και τα ορμονικά σήματα. Η κατανόηση αυτής της σχέσης επιτρέπει πιο στοχευμένες διατροφικές και συμπεριφορικές επιλογές. Η διαχείριση του σωματικού βάρους, επομένως, αποτελεί βασική στρατηγική μεταβολικής πρόληψης.

📌 balantia perspective

Η διαχείριση του σωματικού βάρους αποτελεί βασικό πυλώνα πρόληψης και ρύθμισης του σακχαρώδη διαβήτη τύπου 2. Συγκριτικά δεδομένα δείχνουν ότι η χρήση της εφαρμογής balantia μπορεί να οδηγήσει σε σημαντικά μεγαλύτερη απώλεια βάρους σε σχέση με πιο συμβατικές διατροφικές προσεγγίσεις — στη συγκεκριμένη μελέτη, περίπου 65–70% μεγαλύτερη μέση απώλεια.
Αυτή η διαφορά είναι κλινικά σημαντική, καθώς ακόμη και μέτρια απώλεια βάρους μπορεί να βελτιώσει την ευαισθησία στην ινσουλίνη και τον γλυκαιμικό έλεγχο. Η συστηματική καταγραφή, η άμεση ανατροφοδότηση και η καθημερινή εμπλοκή του χρήστη ενισχύουν τη συνέπεια — και η συνέπεια είναι αυτό που τελικά μεταφράζεται σε μεταβολικό όφελος.

Επισκόπηση απορρήτου

Αυτός ο ιστότοπος χρησιμοποιεί cookies ώστε να μπορούμε να σας παρέχουμε την καλύτερη δυνατή εμπειρία χρήστη. Οι πληροφορίες cookie αποθηκεύονται στο πρόγραμμα περιήγησής σας και εκτελούν λειτουργίες όπως η αναγνώριση σας όταν επιστρέφετε στον ιστότοπό μας και η βοήθεια της ομάδας μας να κατανοήσει ποιες ενότητες του ιστότοπου θεωρείτε πιο ενδιαφέρουσες και χρήσιμες.